Официальное опубликование правовых актов
ОФИЦИАЛЬНОЕ ОПУБЛИКОВАНИЕ
Постановление Правительства Ярославской области от 13.05.2022 № 376-п
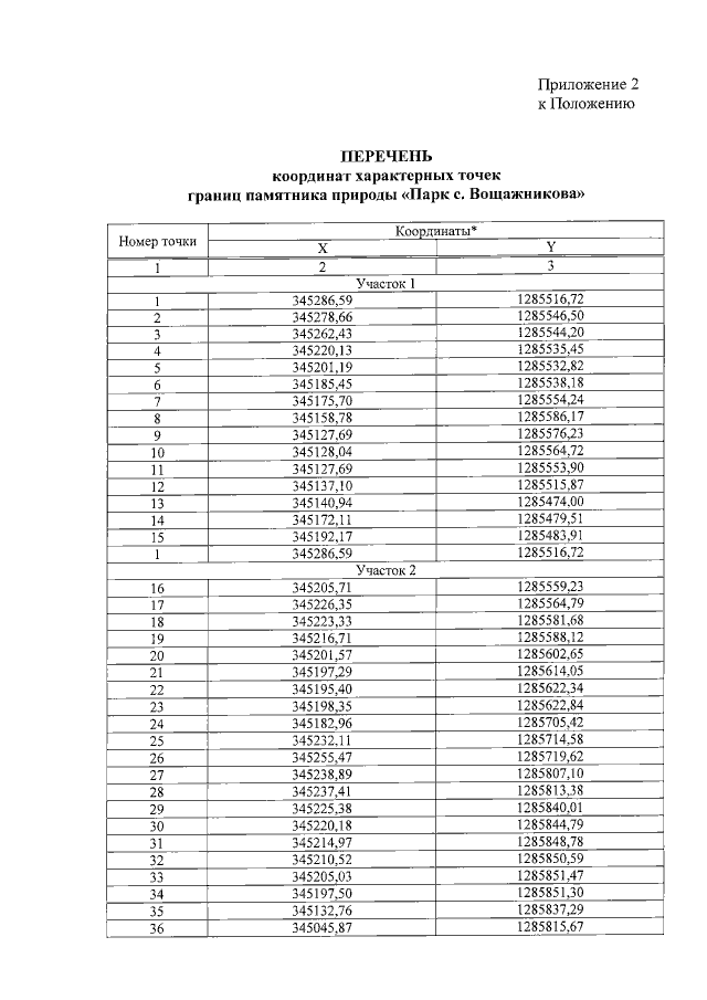
"Об утверждении Положения о памятнике природы "Парк с. Вощажникова" и о внесении изменений в постановления Правительства области от 01.07.2010 № 460-п, от 02.11.2017 № 823-п"
Номер опубликования: 7600202205170014
Дата опубликования: 17.05.2022
Страница №23 из 26:
Увеличить