Официальное опубликование правовых актов
ОФИЦИАЛЬНОЕ ОПУБЛИКОВАНИЕ
Постановление Правительства Ярославской области от 10.08.2021 № 546-п
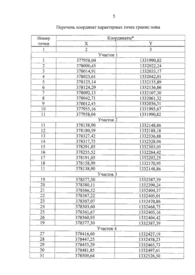
"О выделении в памятнике природы "Тверицкий парк" зоны ограниченного хозяйственного использования и о внесении изменений в постановления Правительства области от 01.07.2010 № 460-п,от 29.08.2017 № 683-п"
Номер опубликования: 7600202108130005
Дата опубликования: 13.08.2021
Страница №41 из 42:
Увеличить