Официальное опубликование правовых актов
ОФИЦИАЛЬНОЕ ОПУБЛИКОВАНИЕ
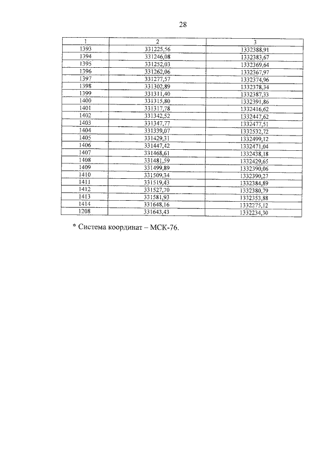
Постановление Правительства Ярославской области от 21.07.2021 № 475-п
"О выделении зоны ограниченного хозяйственного использования, об утверждении Положения о заказнике "Гаврилов-Ямский" и о внесении изменений в постановление Администрации области от 15.12.2003 № 247 и постановление Правительства области от 01.07.2010 № 460-п"
Номер опубликования: 7600202107260001
Дата опубликования: 26.07.2021
Страница №75 из 84:
Увеличить