Официальное опубликование правовых актов
ОФИЦИАЛЬНОЕ ОПУБЛИКОВАНИЕ
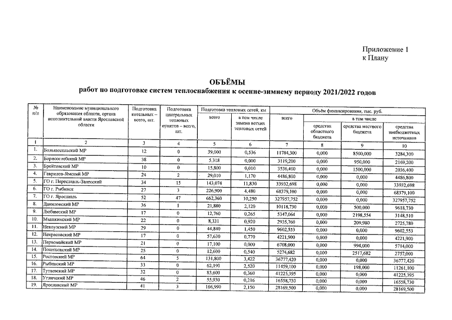
Постановление Правительства Ярославской области от 18.05.2021 № 311-п
"О подготовке объектов жилищно-коммунального хозяйства и социальной сферы Ярославской области к осенне-зимнему периоду 2021/2022 годов"
Номер опубликования: 7600202105250001
Дата опубликования: 25.05.2021
Страница №8 из 20:
Увеличить