Постановление Правительства Ярославской области от 02.02.2021 № 27-п
"О выделении в заказнике "Верхне-Волжский" зоны ограниченного хозяйственного использования и о внесении изменений в постановление Правительства области от 03.10.2014 № 977-п"
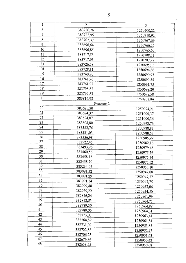
"О выделении в заказнике "Верхне-Волжский" зоны ограниченного хозяйственного использования и о внесении изменений в постановление Правительства области от 03.10.2014 № 977-п"
Номер опубликования: 7600202102050011
Дата опубликования:
05.02.2021
