Официальное опубликование правовых актов
ОФИЦИАЛЬНОЕ ОПУБЛИКОВАНИЕ
Указ Губернатора Ярославской области от 28.04.2020 № 98
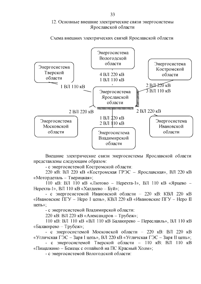
"О Программе развития электроэнергетики Ярославской области на 2021 – 2025 годы и признании утратившим силу указа Губернатора области от 29.04.2019 № 128"
Номер опубликования: 7600202005070001
Дата опубликования: 07.05.2020
Страница №33 из 139:
Увеличить