Официальное опубликование правовых актов
ОФИЦИАЛЬНОЕ ОПУБЛИКОВАНИЕ
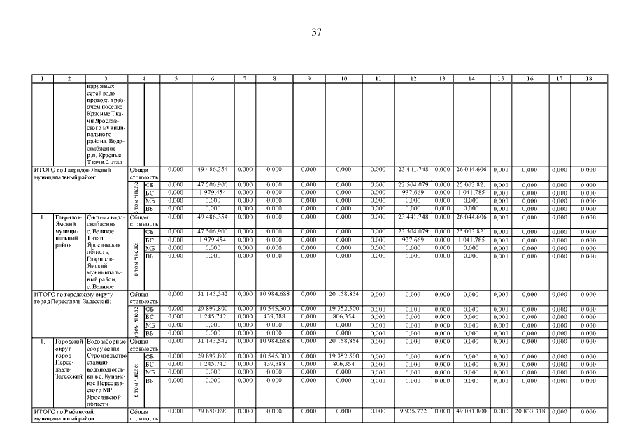
Постановление Правительства Ярославской области от 22.04.2020 № 359-п
"О внесении изменений в постановление Правительства области от 30.03.2018 № 234-п"
Номер опубликования: 7600202004240002
Дата опубликования: 24.04.2020
Страница №37 из 94:
Увеличить