Официальное опубликование правовых актов
ОФИЦИАЛЬНОЕ ОПУБЛИКОВАНИЕ
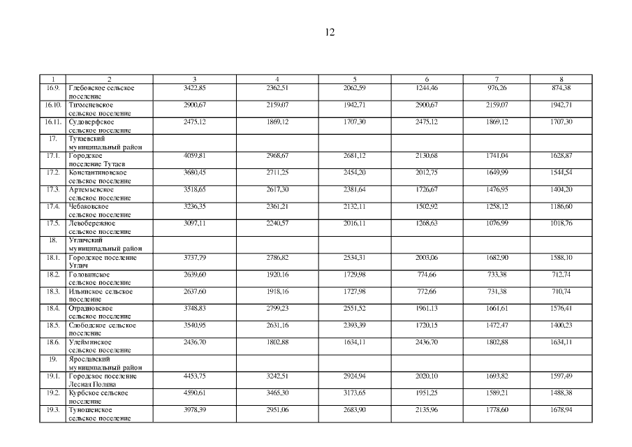
Постановление Правительства Ярославской области от 30.01.2020 № 59-п
"О внесении изменения в постановление Правительства области от 28.12.2009 № 1283-п"
Номер опубликования: 7600202002070003
Дата опубликования: 07.02.2020
Страница №12 из 13:
Увеличить