Официальное опубликование правовых актов
ОФИЦИАЛЬНОЕ ОПУБЛИКОВАНИЕ
Постановление Правительства Ярославской области от 24.12.2019 № 934-п
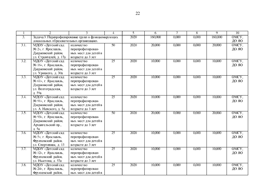
"Об утверждении региональной целевой программы "Содействие занятости женщин – создание условий дошкольного образования для детей в возрасте до трех лет в Ярославской области" на 2020 – 2024 годы, признании утратившими силу отдельных постановлений Правительства области и частично утратившим силу постановления Правительства области от 05.08.2013 № 979-п"
Номер опубликования: 7600201912310007
Дата опубликования: 31.12.2019
Страница №22 из 54:
Увеличить