Официальное опубликование правовых актов
ОФИЦИАЛЬНОЕ ОПУБЛИКОВАНИЕ
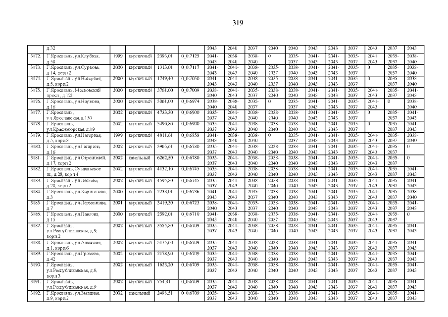
Постановление Правительства Ярославской области от 19.11.2019 № 787-п
"О внесении изменений в постановление Правительства области от 31.12.2013 № 1779-п"
Номер опубликования: 7600201911280001
Дата опубликования: 28.11.2019
Страница №319 из 554:
Увеличить