Официальное опубликование правовых актов
ОФИЦИАЛЬНОЕ ОПУБЛИКОВАНИЕ
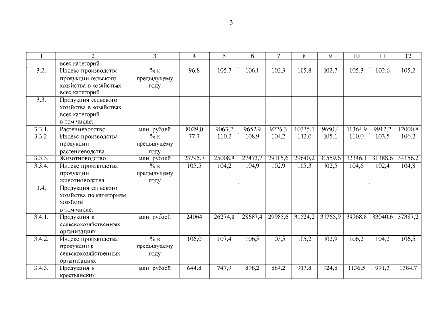
Постановление Правительства Ярославской области от 23.10.2019 № 742-п
"О прогнозе социально-экономического развития Ярославской области на среднесрочный период 2020 – 2022 годов"
Номер опубликования: 7600201910290001
Дата опубликования: 29.10.2019
Страница №3 из 46:
Увеличить