Официальное опубликование правовых актов
ОФИЦИАЛЬНОЕ ОПУБЛИКОВАНИЕ
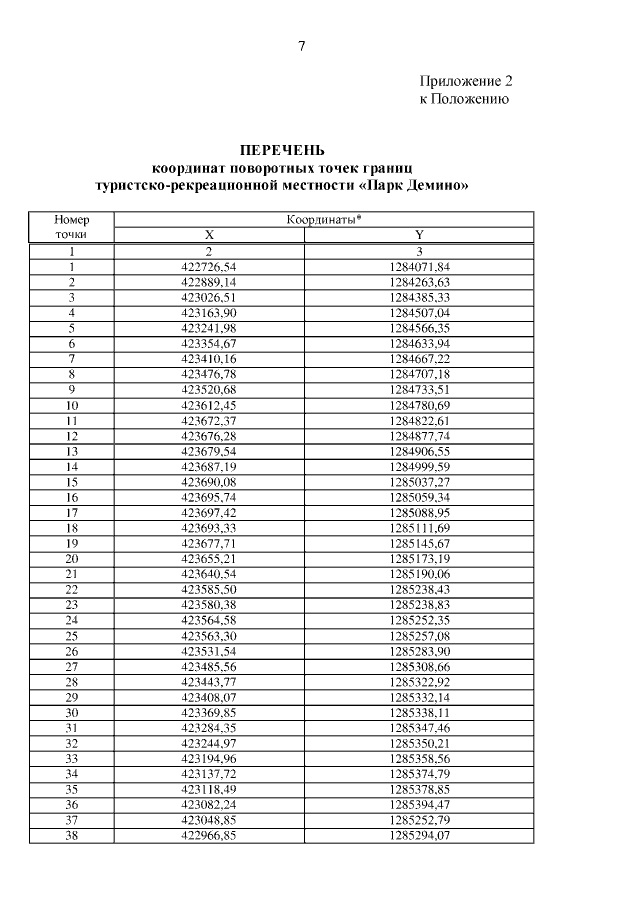
Постановление Правительства Ярославской области от 26.07.2019 № 524-п
"Об изменении границ туристско-рекреационной местности "Парк Демино" и о внесении изменений в постановления Правительства области от 01.07.2010 № 460-п, от 28.06.2017 № 530-п"
Номер опубликования: 7600201907310004
Дата опубликования: 31.07.2019
Страница №7 из 17:
Увеличить