Официальное опубликование правовых актов
ОФИЦИАЛЬНОЕ ОПУБЛИКОВАНИЕ
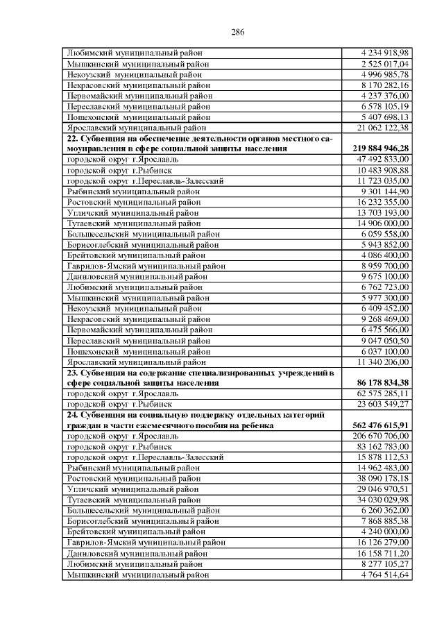
Закон Ярославской области от 03.07.2019 № 35-з
"Об исполнении областного бюджета за 2018 год"
Номер опубликования: 7600201907110003
Дата опубликования: 11.07.2019
Страница №286 из 302:
Увеличить