Официальное опубликование правовых актов
ОФИЦИАЛЬНОЕ ОПУБЛИКОВАНИЕ
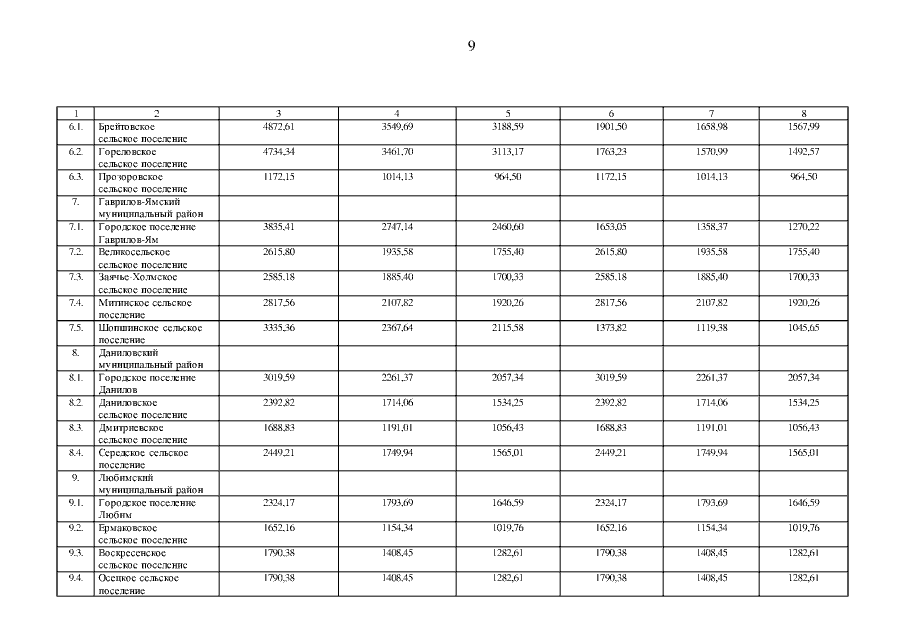
Постановление Правительства Ярославской области от 07.02.2019 № 75-п
"О внесении изменения в постановление Правительства области от 28.12.2009 № 1283-п"
Номер опубликования: 7600201902110011
Дата опубликования: 11.02.2019
Страница №9 из 13:
Увеличить