Официальное опубликование правовых актов
ОФИЦИАЛЬНОЕ ОПУБЛИКОВАНИЕ
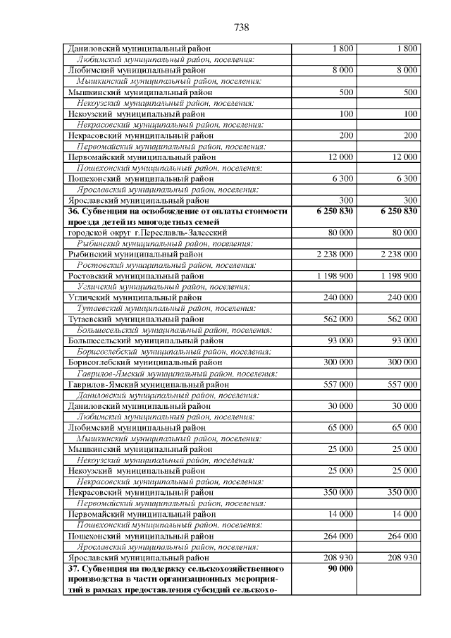
Закон Ярославской области от 24.12.2018 № 93-з
"Об областном бюджете на 2019 год и на плановый период 2020 и 2021 годов"
Номер опубликования: 7600201812290010
Дата опубликования: 29.12.2018
Страница №738 из 759:
Увеличить