Официальное опубликование правовых актов
ОФИЦИАЛЬНОЕ ОПУБЛИКОВАНИЕ
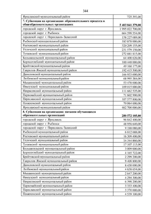
Постановление Правительства Ярославской области от 13.11.2018 № 825-п
"Об исполнении областного бюджета за 9 месяцев 2018 года"
Номер опубликования: 7600201811160002
Дата опубликования: 16.11.2018
Страница №344 из 370:
Увеличить