Официальное опубликование правовых актов
ОФИЦИАЛЬНОЕ ОПУБЛИКОВАНИЕ
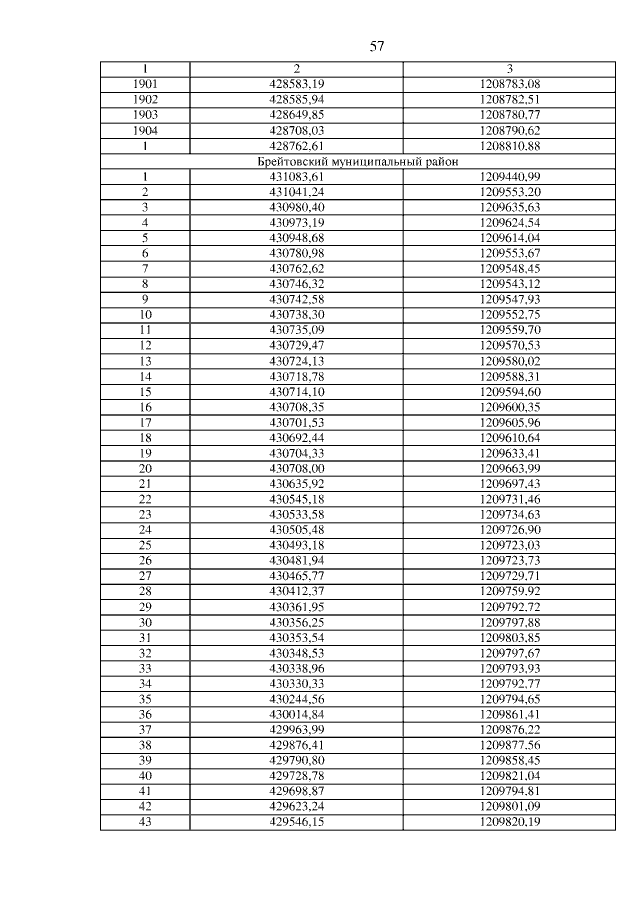
Постановление Правительства Ярославской области от 13.11.2018 № 831-п
"О выделении в памятнике природы "Долина реки Сити (среднее течение)" зоны ограниченного хозяйственного использования и о внесении изменений в постановления Правительства области от 01.07.2010 № 460-п, от 29.12.2011 № 1190-п"
Номер опубликования: 7600201811150003
Дата опубликования: 15.11.2018
Страница №57 из 69:
Увеличить