Официальное опубликование правовых актов
ОФИЦИАЛЬНОЕ ОПУБЛИКОВАНИЕ
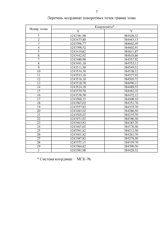
Постановление Правительства Ярославской области от 08.11.2018 № 815-п
"О выделении в заказнике "Верхне-Волжский" зоны ограниченного хозяйственного использования и внесении изменений в постановление Правительства области от 03.10.2014 № 977-п"
Номер опубликования: 7600201811130004
Дата опубликования: 13.11.2018
Страница №7 из 8:
Увеличить