Официальное опубликование правовых актов
ОФИЦИАЛЬНОЕ ОПУБЛИКОВАНИЕ
Постановление Правительства Ярославской области от 21.09.2018 № 693-п
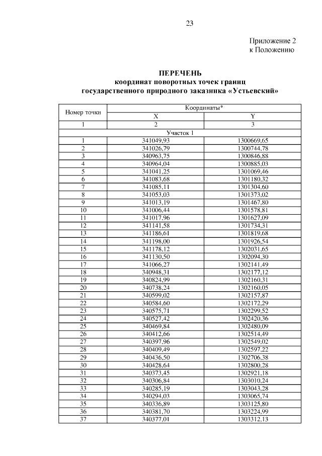
"О выделении зоны ограниченного хозяйственного использования, об утверждении Положения о заказнике "Устьевский" и о внесении изменений в постановление Администрации области от 15.12.2003 № 247 и постановление Правительства области от 01.07.2010 № 460-п"
Номер опубликования: 7600201809260006
Дата опубликования: 26.09.2018
Страница №23 из 47:
Увеличить