Официальное опубликование правовых актов
ОФИЦИАЛЬНОЕ ОПУБЛИКОВАНИЕ
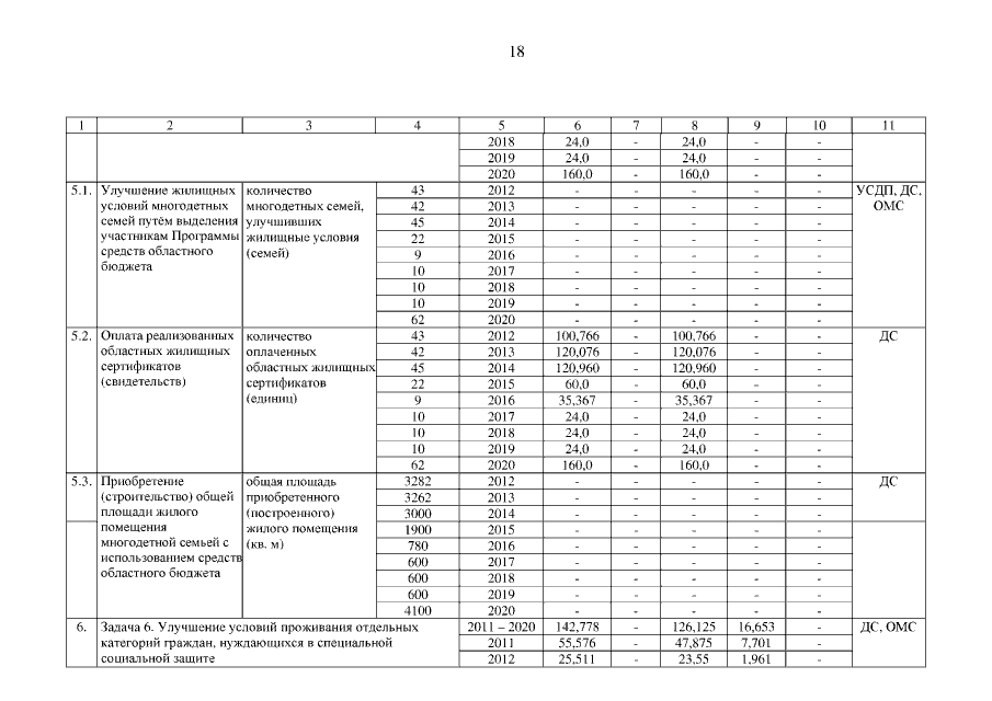
Постановление Правительства Ярославской области от 21.12.2017 № 947-п
"О внесении изменений в постановление Правительства области от 26.01.2011 № 9-п"
Номер опубликования: 7600201712260004
Дата опубликования: 26.12.2017
Страница №18 из 30:
Увеличить