Официальное опубликование правовых актов
ОФИЦИАЛЬНОЕ ОПУБЛИКОВАНИЕ
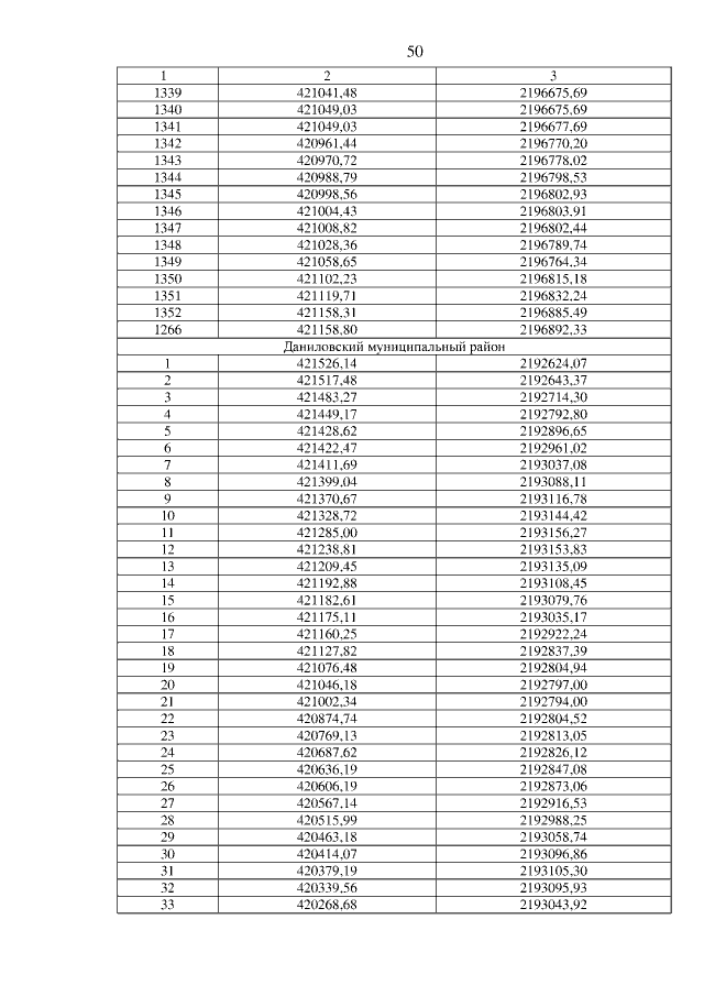
Постановление Правительства Ярославской области от 08.11.2017 № 841-п
"Об изменении границ, утверждении Положения о заказнике "Сотинский" и о внесении изменений в постановление Администрации области от 15.12.2003 № 247 и постановление Правительства области от 01.07.2010 № 460-п"
Номер опубликования: 7600201711130003
Дата опубликования: 13.11.2017
Страница №50 из 53:
Увеличить