Официальное опубликование правовых актов
ОФИЦИАЛЬНОЕ ОПУБЛИКОВАНИЕ
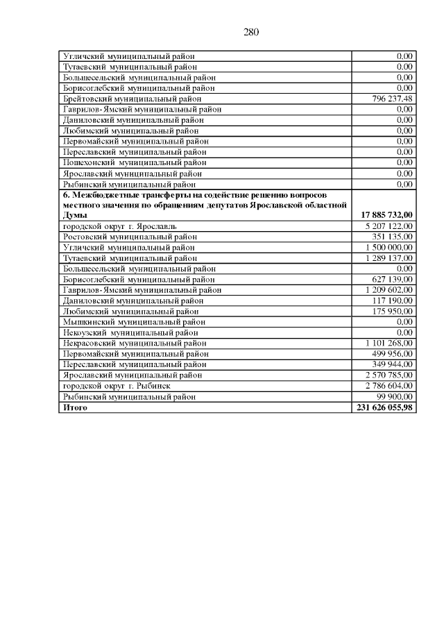
Постановление Правительства Ярославской области от 10.08.2017 № 638-п
"Об исполнении областного бюджета за I полугодие 2017 года"
Номер опубликования: 7600201708160007
Дата опубликования: 16.08.2017
Страница №280 из 285:
Увеличить