Официальное опубликование правовых актов
ОФИЦИАЛЬНОЕ ОПУБЛИКОВАНИЕ
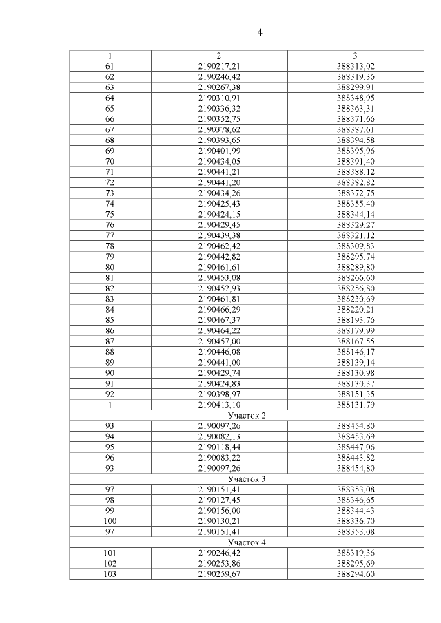
Постановление Правительства Ярославской области от 27.12.2016 № 1346-п
"О выделении зон ограниченного хозяйственного использования и о внесении изменений в постановления Правительства области от 05.04.2016 № 368-п, от 22.08.2016 № 982-п"
Номер опубликования: 7600201612290011
Дата опубликования: 29.12.2016
Страница №6 из 12:
Увеличить