Постановление Правительства Ярославской области от 20.10.2016 № 1111-п
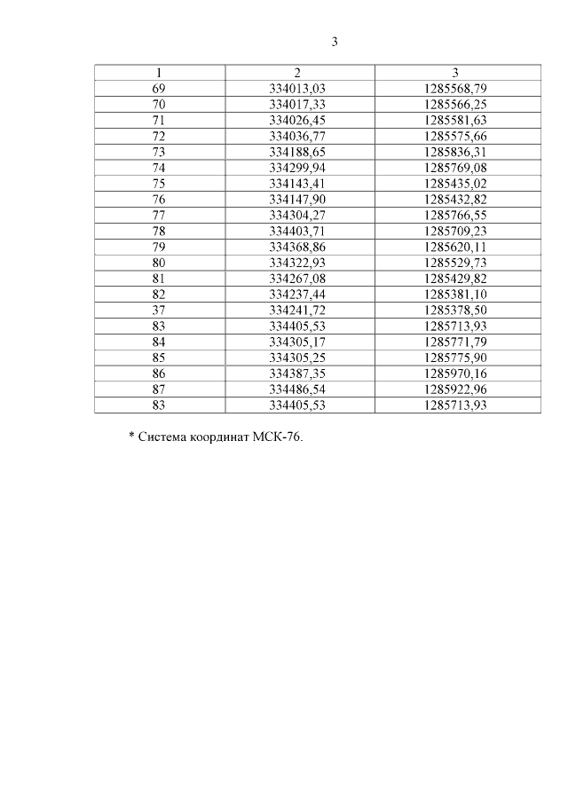
"Об утверждении границы охранной зоны объекта газораспределительной сети "Газоснабжение пос. Борисоглебский Ярославской области, II этап, назначение: нежилое, протяженность 3353,94 м, инв. № 000176, адрес: Ярославская область, Борисоглебский р-н, р.п. Борисоглебский, ул. Верхняя, Пушкинская, Белевцева, Профессиональная, Октябрьская, Красноармейская"
"Об утверждении границы охранной зоны объекта газораспределительной сети "Газоснабжение пос. Борисоглебский Ярославской области, II этап, назначение: нежилое, протяженность 3353,94 м, инв. № 000176, адрес: Ярославская область, Борисоглебский р-н, р.п. Борисоглебский, ул. Верхняя, Пушкинская, Белевцева, Профессиональная, Октябрьская, Красноармейская"
Номер опубликования: 7600201610250017
Дата опубликования:
25.10.2016
