Официальное опубликование правовых актов
ОФИЦИАЛЬНОЕ ОПУБЛИКОВАНИЕ
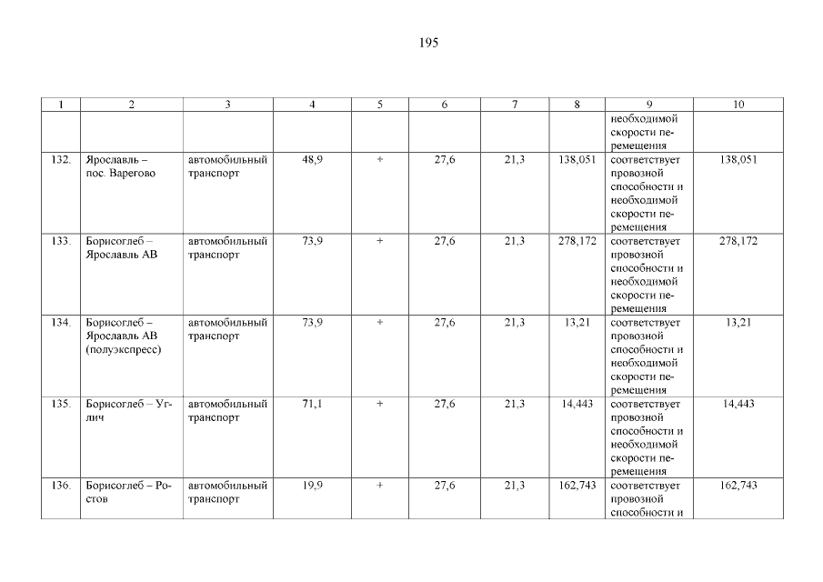
Постановление Правительства Ярославской области от 12.07.2016 № 810-п
"Об утверждении комплексного плана транспортного обслуживания населения Ярославской области на средне- и долгосрочную перспективу (до 2030 года) в части пригородных пассажирских перевозок"
Номер опубликования: 7600201607180002
Дата опубликования: 18.07.2016
Страница №196 из 241:
Увеличить