Официальное опубликование правовых актов
ОФИЦИАЛЬНОЕ ОПУБЛИКОВАНИЕ
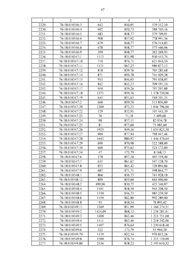
Постановление Правительства Ярославской области от 22.06.2016 № 704-п
"Об утверждении результатов государственной кадастровой оценки земельных участков в составе земель населённых пунктов городских округов города Ярославля, города Рыбинска и города Переславля-Залесского Ярославской области и признании утратившими силу и частично утратившими силу отдельных постановлений Правительства области"
Номер опубликования: 7600201606240001
Дата опубликования: 24.06.2016
Страница №49 из 1727:
Увеличить