Официальное опубликование правовых актов
ОФИЦИАЛЬНОЕ ОПУБЛИКОВАНИЕ
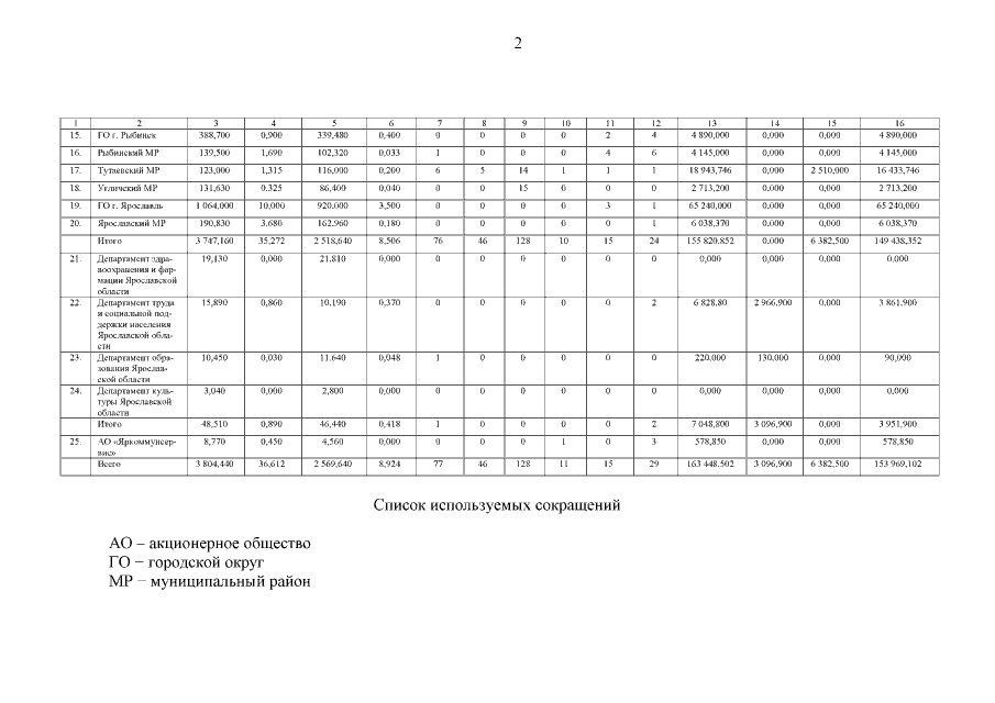
Постановление Правительства Ярославской области от 02.06.2016 № 642-п
"О подготовке объектов жилищно-коммунального хозяйства и социальной сферы Ярославской области к осенне-зимнему периоду 2016/2017 годов"
Номер опубликования: 7600201606030013
Дата опубликования: 03.06.2016
Страница №11 из 20:
Увеличить