Постановление Правительства Ярославской области от 19.05.2016 № 579-п
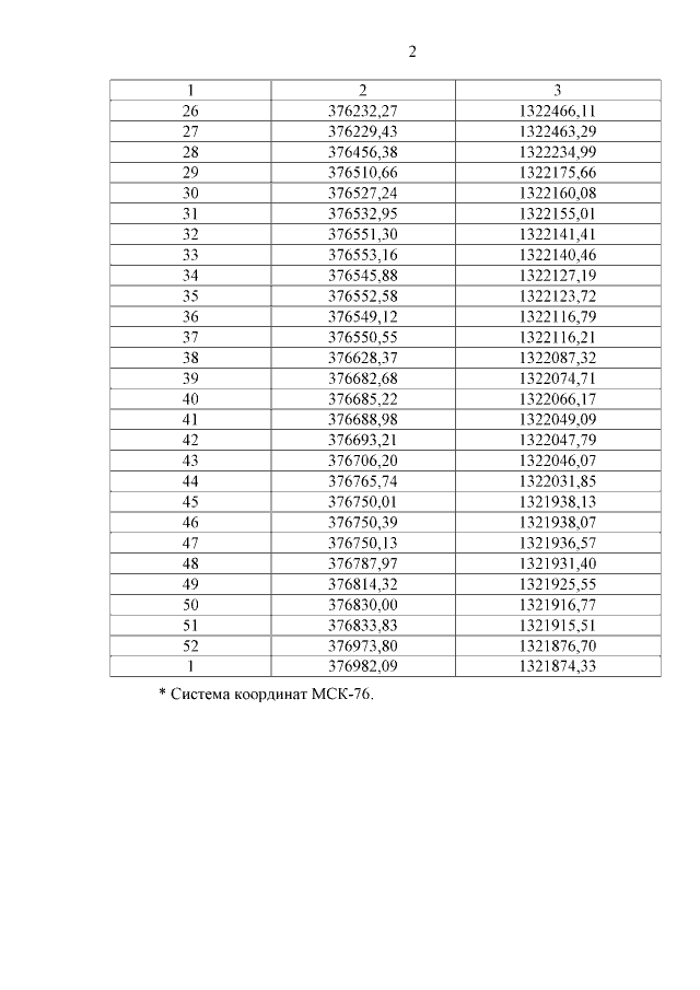
"Об утверждении границы охранной зоны объекта газораспределительной сети "Газопровод высокого давления, д. Ивановский Перевоз - д. Зверинцы Ярославского МР (г/п - закольцовка), назначение: нежилое, производственное, протяженность 1439 м, адрес (местонахождение) объекта: Ярославская область, Ярославский район, Ивняковский с/о"
"Об утверждении границы охранной зоны объекта газораспределительной сети "Газопровод высокого давления, д. Ивановский Перевоз - д. Зверинцы Ярославского МР (г/п - закольцовка), назначение: нежилое, производственное, протяженность 1439 м, адрес (местонахождение) объекта: Ярославская область, Ярославский район, Ивняковский с/о"
Номер опубликования: 7600201605200023
Дата опубликования:
20.05.2016
