Официальное опубликование правовых актов
ОФИЦИАЛЬНОЕ ОПУБЛИКОВАНИЕ
Постановление Правительства Ярославской области от 28.04.2016 № 512-п
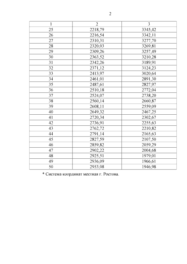
"Об утверждении границы охранной зоны объекта газораспределительной сети "Сооружение, назначение: сооружения трубопроводного транспорта, протяженность 1681 м, адрес (местонахождение) объекта: Ярославская область, г. Ростов, микрорайон № 1, от ГРП микрорайон № 1, д. 20а к котельной до ограждения ОАО "РОМЗ"
Номер опубликования: 7600201604290008
Дата опубликования: 29.04.2016
Страница №4 из 4:
Увеличить