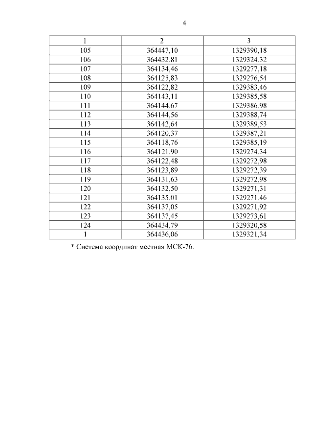
Постановление Правительства Ярославской области от 22.04.2016 № 484-п
"Об утверждении границы охранной зоны объекта газораспределительной сети "Газопровод межпоселковый ГРС "Ананьино" до газораспределительной системы г. Ярославля и индустриального парка "Новоселки"
"Об утверждении границы охранной зоны объекта газораспределительной сети "Газопровод межпоселковый ГРС "Ананьино" до газораспределительной системы г. Ярославля и индустриального парка "Новоселки"
Номер опубликования: 7600201604260001
Дата опубликования:
26.04.2016
