Официальное опубликование правовых актов
ОФИЦИАЛЬНОЕ ОПУБЛИКОВАНИЕ
Постановление Правительства Ярославской области от 06.04.2016 № 390-п
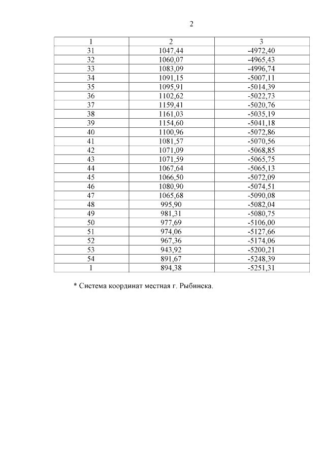
"Об утверждении границы охранной зоны объекта газораспределительной сети "Газопровод среднего и низкого давления, назначение: газопровод, протяженность 917,9 м, инв. № 00880, лит. А, А1, А2, А3"
Номер опубликования: 7600201604080021
Дата опубликования: 08.04.2016
Страница №4 из 4:
Увеличить