Постановление Правительства Ярославской области от 29.03.2016 № 325-п
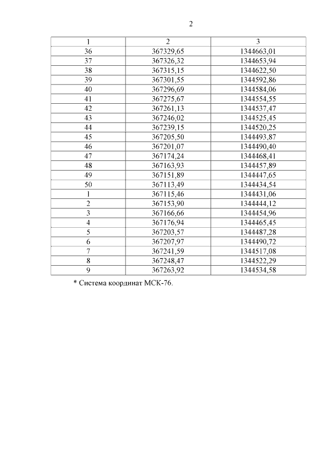
"Об утверждении границы охранной зоны объекта газораспределительной сети "Газопровод низкого давления к жилым домам по ул. Зеленой в пос. Туношна, назначение: сооружение трубопроводного транспорта, протяженность 540 м"
"Об утверждении границы охранной зоны объекта газораспределительной сети "Газопровод низкого давления к жилым домам по ул. Зеленой в пос. Туношна, назначение: сооружение трубопроводного транспорта, протяженность 540 м"
Номер опубликования: 7600201604010014
Дата опубликования:
01.04.2016
