Официальное опубликование правовых актов
ОФИЦИАЛЬНОЕ ОПУБЛИКОВАНИЕ
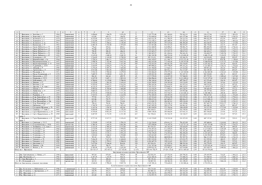
Постановление Правительства Ярославской области от 29.02.2016 № 200-п
"О внесении изменения в постановление Правительства области от 28.03.2014 № 275-п"
Номер опубликования: 7600201603030037
Дата опубликования: 03.03.2016
Страница №27 из 62:
Увеличить