Официальное опубликование правовых актов
ОФИЦИАЛЬНОЕ ОПУБЛИКОВАНИЕ
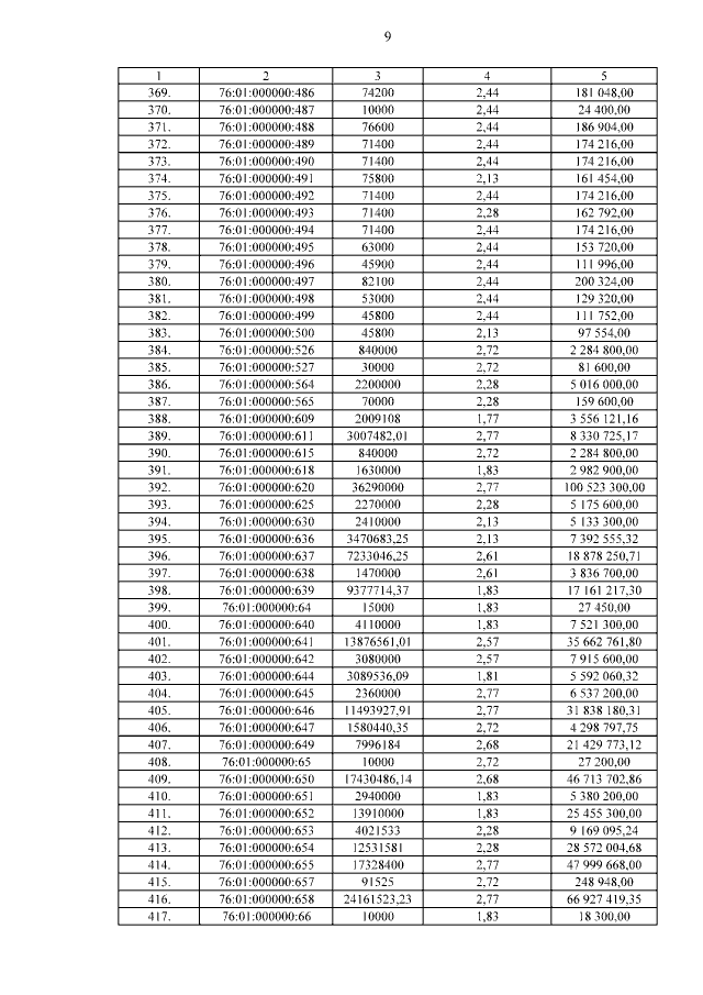
Постановление Правительства Ярославской области от 24.02.2016 № 170-п
"Об утверждении результатов государственной кадастровой оценки земельных участков в составе земель сельскохозяйственного назначения Ярославской области и признании утратившими силу отдельных постановлений Правительства области"
Номер опубликования: 7600201603010012
Дата опубликования: 01.03.2016
Страница №11 из 2830:
Увеличить