Официальное опубликование правовых актов
ОФИЦИАЛЬНОЕ ОПУБЛИКОВАНИЕ
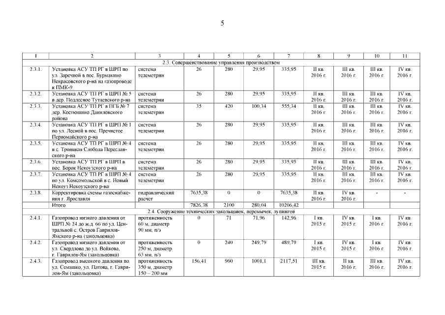
Постановление Правительства Ярославской области от 24.02.2016 № 174-п
"Об утверждении программ газификации Ярославской области, финансируемых за счёт средств специальных надбавок"
Номер опубликования: 7600201602260014
Дата опубликования: 26.02.2016
Страница №6 из 11:
Увеличить