Официальное опубликование правовых актов
ОФИЦИАЛЬНОЕ ОПУБЛИКОВАНИЕ
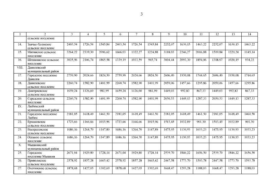
Постановление Правительства Ярославской области от 18.12.2015 № 1366-п
"О внесении изменений в постановление Правительства области от 28.12.2009 № 1283-п"
Номер опубликования: 7600201512220005
Дата опубликования: 22.12.2015
Страница №4 из 15:
Увеличить