Официальное опубликование правовых актов
ОФИЦИАЛЬНОЕ ОПУБЛИКОВАНИЕ
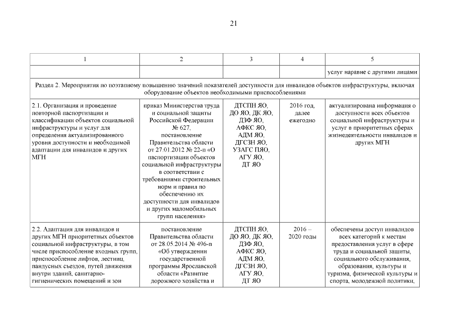
Постановление Правительства Ярославской области от 15.12.2015 № 1343-п
"О плане мероприятий ("дорожной карте") по повышению значений показателей доступности для инвалидов объектов и услуг в Ярославской области на 2016 – 2030 годы"
Номер опубликования: 7600201512180008
Дата опубликования: 18.12.2015
Страница №22 из 36:
Увеличить