Официальное опубликование правовых актов
ОФИЦИАЛЬНОЕ ОПУБЛИКОВАНИЕ
Постановление Правительства Ярославской области от 05.11.2015 № 1179-п
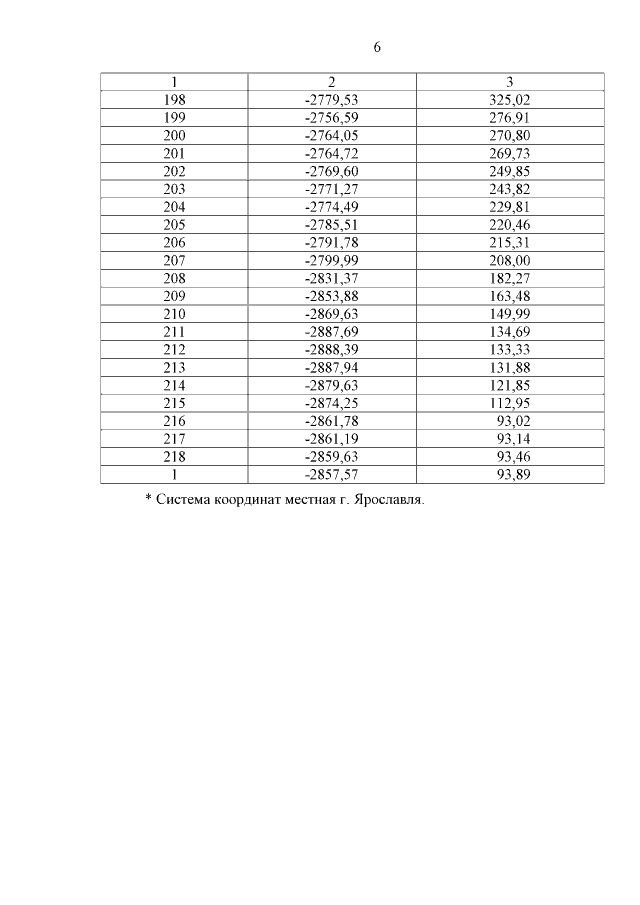
"Об утверждении границы охранной зоны объекта газораспределительной сети "Газорегуляторный пункт № 47 площадью 16,6 кв. м с сетями газопроводов высокого давления, общая протяженность 1915,1 м, инв. № 2434"
Номер опубликования: 7600201511090014
Дата опубликования: 09.11.2015
Страница №8 из 8:
Увеличить