Официальное опубликование правовых актов
ОФИЦИАЛЬНОЕ ОПУБЛИКОВАНИЕ
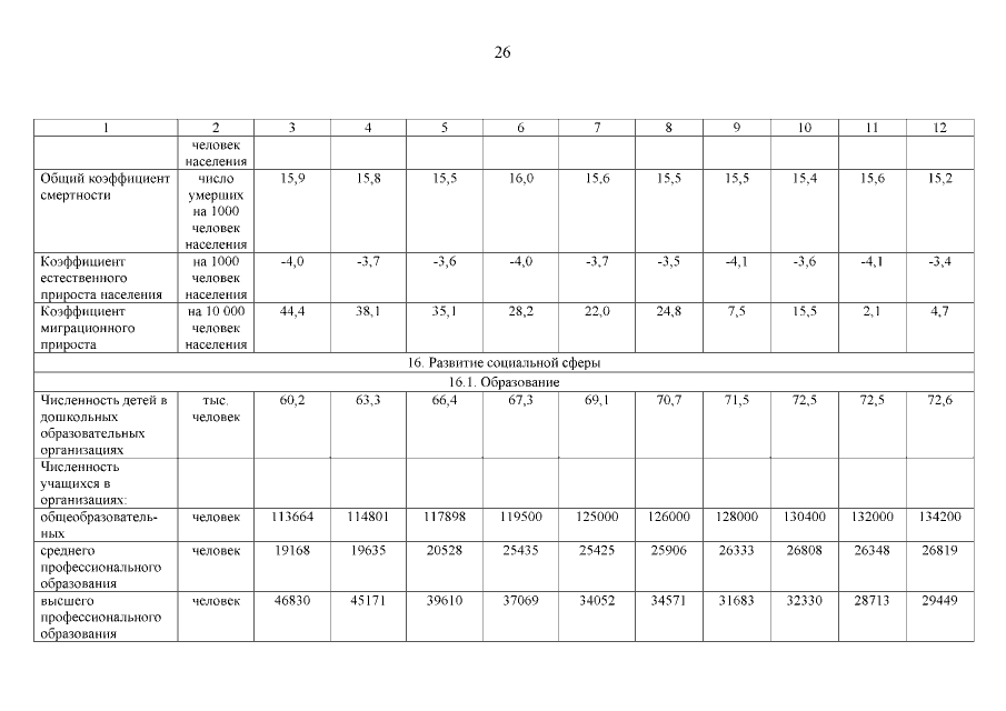
Постановление Правительства Ярославской области от 27.10.2015 № 1149-п
"О прогнозе социально-экономического развития Ярославской области на среднесрочный период 2016 – 2018 годов"
Номер опубликования: 7600201510280009
Дата опубликования: 28.10.2015
Страница №27 из 69:
Увеличить