Официальное опубликование правовых актов
ОФИЦИАЛЬНОЕ ОПУБЛИКОВАНИЕ
Постановление Правительства Ярославской области от 01.09.2015 № 969-п
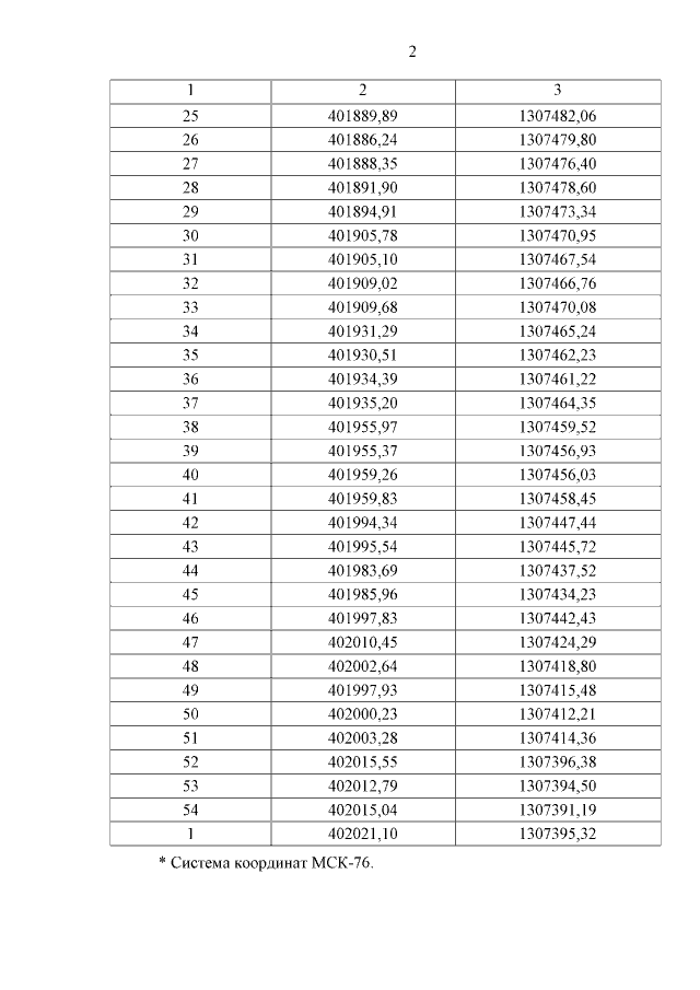
"Об утверждении границы охранной зоны объекта газораспределительной сети "Газопровод низкого давления с вводами включительно"
Номер опубликования: 7600201509020018
Дата опубликования: 02.09.2015
Страница №4 из 4:
Увеличить