Официальное опубликование правовых актов
ОФИЦИАЛЬНОЕ ОПУБЛИКОВАНИЕ
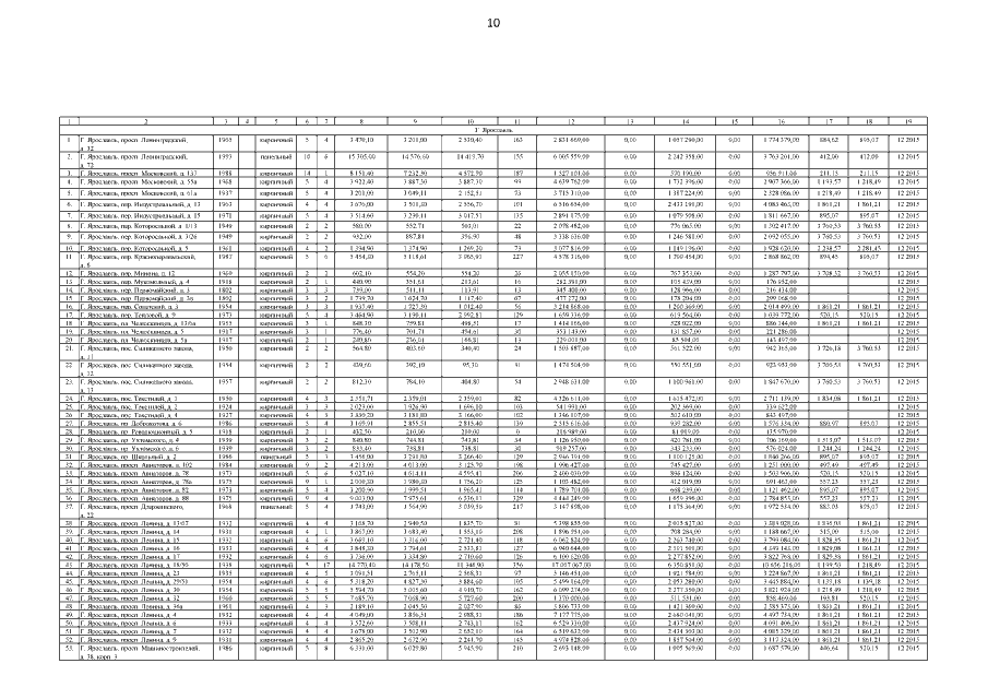
Постановление Правительства Ярославской области от 25.08.2015 № 942-п
"О внесении изменения в постановление Правительства области от 28.03.2014 № 275-п"
Номер опубликования: 7600201508270007
Дата опубликования: 27.08.2015
Страница №11 из 62:
Увеличить