Официальное опубликование правовых актов
ОФИЦИАЛЬНОЕ ОПУБЛИКОВАНИЕ
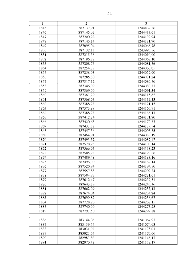
Постановление Правительства Ярославской области от 11.08.2015 № 900-п
"Об изменении границ заказника "Верхне-Волжский" и внесении изменений в постановления Правительства области от 01.07.2010 № 460-п, от 22.08.2014 № 822-п, от 03.10.2014 № 977-п"
Номер опубликования: 7600201508140004
Дата опубликования: 14.08.2015
Страница №49 из 86:
Увеличить