Официальное опубликование правовых актов
ОФИЦИАЛЬНОЕ ОПУБЛИКОВАНИЕ
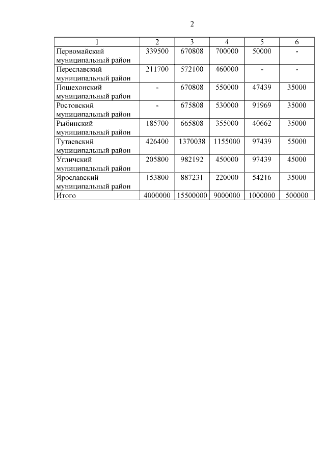
Постановление Правительства Ярославской области от 30.07.2015 № 844-п
"О внесении изменений в постановление Правительства области от 01.09.2011 № 665-п"
Номер опубликования: 7600201508040006
Дата опубликования: 04.08.2015
Страница №11 из 11:
Увеличить