Официальное опубликование правовых актов
ОФИЦИАЛЬНОЕ ОПУБЛИКОВАНИЕ
Постановление Правительства Ярославской области от 10.07.2015 № 756-п
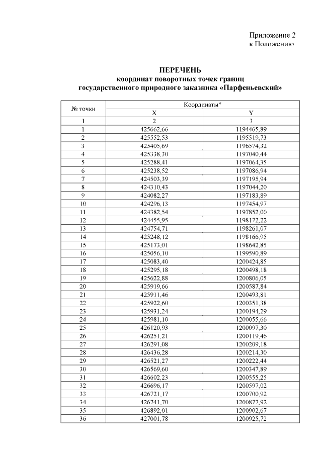
"О выделении зоны ограниченного хозяйственного использования, об утверждении Положения о заказнике "Парфеньевский" и о внесении изменений в постановление Администрации области от 15.12.2003 № 247"
Номер опубликования: 7600201507140006
Дата опубликования: 14.07.2015
Страница №19 из 57:
Увеличить