Официальное опубликование правовых актов
ОФИЦИАЛЬНОЕ ОПУБЛИКОВАНИЕ
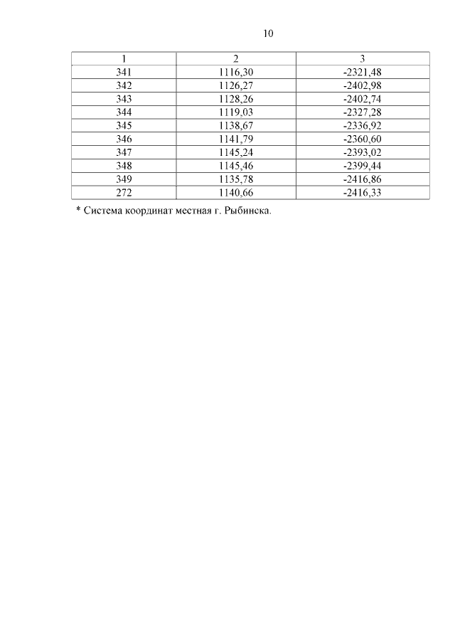
Постановление Правительства Ярославской области от 26.06.2015 № 701-п
"Об утверждении границы охранной зоны объекта газораспределительной сети "Газопровод низкого давления, назначение: газопровод, протяженность 2763,33 м, инв. № 01933, лит. А, А1"
Номер опубликования: 7600201506300012
Дата опубликования: 30.06.2015
Страница №12 из 12:
Увеличить