Официальное опубликование правовых актов
ОФИЦИАЛЬНОЕ ОПУБЛИКОВАНИЕ
Постановление Правительства Ярославской области от 05.05.2015 № 484-п
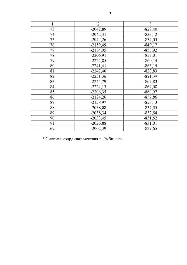
"Об утверждении границы охранной зоны объекта газораспределительной сети "Газопровод низкого давления, назначение: газопровод, протяженность 585,96 м, инв. № 01969, лит. А, А1"
Номер опубликования: 7600201505070035
Дата опубликования: 07.05.2015
Страница №5 из 5:
Увеличить