Официальное опубликование правовых актов
ОФИЦИАЛЬНОЕ ОПУБЛИКОВАНИЕ
Постановление Правительства Ярославской области от 05.05.2015 № 483-п
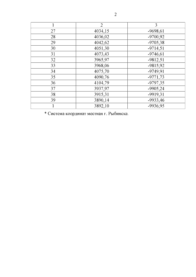
"Об утверждении границы охранной зоны объекта газораспределительной сети "Сооружение (газопровод высокого и низкого давления, назначение: иное сооружение производственного назначения, (газопровод высокого и низкого давления), протяженность 1075 м, лит. А, А1 (лит. А - 67,5 м, А1 - 1007,11 м)"
Номер опубликования: 7600201505070033
Дата опубликования: 07.05.2015
Страница №4 из 4:
Увеличить