Официальное опубликование правовых актов
ОФИЦИАЛЬНОЕ ОПУБЛИКОВАНИЕ
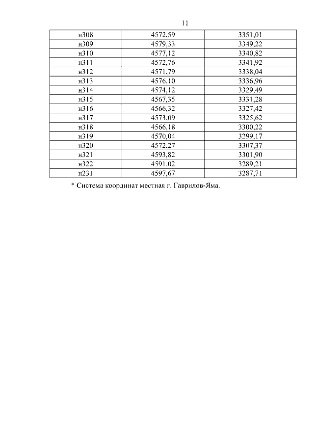
Постановление Правительства Ярославской области от 16.04.2015 № 417-п
"Об утверждении границы охранной зоны объекта газораспределительной сети "Газопровод низкого давления"
Номер опубликования: 7600201504200011
Дата опубликования: 20.04.2015
Страница №11 из 11:
Увеличить