Официальное опубликование правовых актов
ОФИЦИАЛЬНОЕ ОПУБЛИКОВАНИЕ
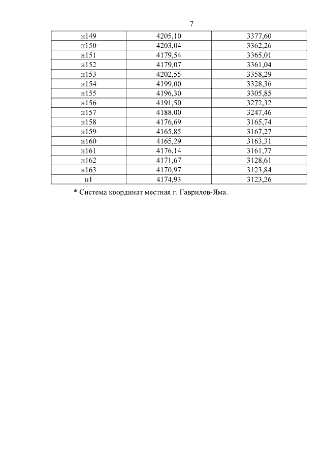
Постановление Правительства Ярославской области от 16.04.2015 № 418-п
"Об утверждении границы охранной зоны объекта газораспределительной сети "Газопровод низкого давления"
Номер опубликования: 7600201504200005
Дата опубликования: 20.04.2015
Страница №7 из 7:
Увеличить