Официальное опубликование правовых актов
ОФИЦИАЛЬНОЕ ОПУБЛИКОВАНИЕ
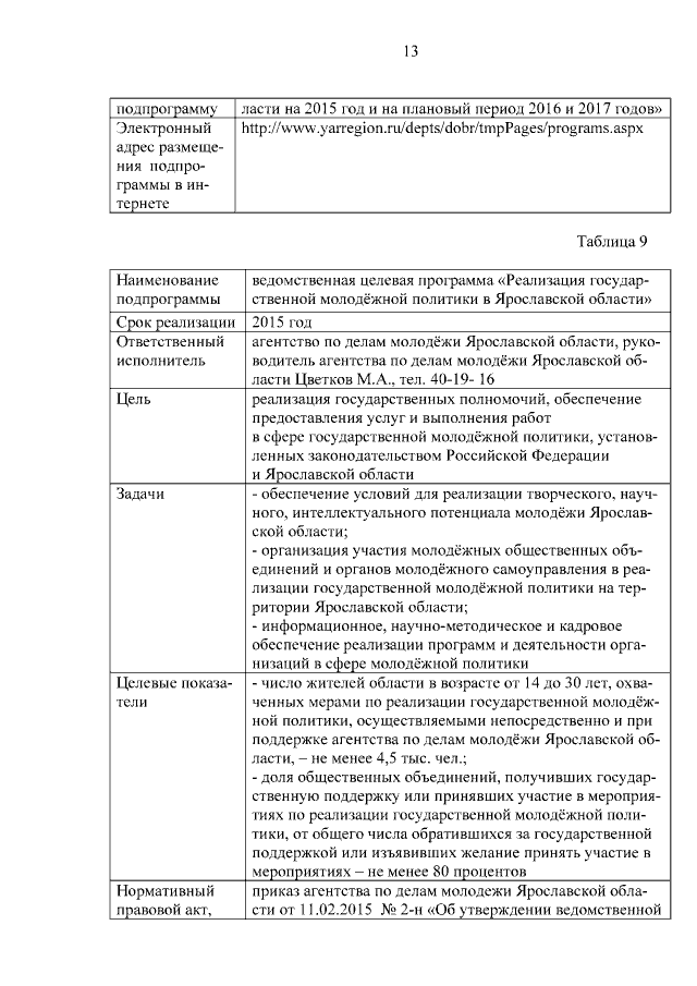
Постановление Правительства Ярославской области от 24.03.2015 № 313-п
"О внесении изменений в постановление Правительства области от 30.05.2014 № 524-п"
Номер опубликования: 7600201503270008
Дата опубликования: 27.03.2015
Страница №14 из 15:
Увеличить